| SpaceClaim オンラインヘルプ |
|
[ビーム] フォルダでビームを選択すると、[プロパティ] パネル
の [ビーム] セクションに表示される以下のプロパティを変更できます。
に対するプロファイルの角度。
のアンカー: プロファイルをビームのパスと交差
させる位置を選択します。[面積中心]、[せん断中心]、[場所] の中から選択できます。[場所] を選択すると、アンカー位置の X 座標と Y 座標を入力できます。[面積中心] がディフォルトです。ストラクチャーツリーでビーム名を変更するには、右クリックして [名前変更] を選択します。
[ビームの断面] のプロパティは、値をハイライトして 1 つずつ変更していくことで編集できます。これにより、プロファイルのスケッチとは異なるジオメトリの特性を持つビームを作成できます。
ビームには、その他のオブジェクトと同様に材料プロパティも設定できます。
ビームのプロファイルのプロパティの詳細については、「ビームのプロファイルの変更」を参照してください。
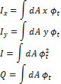
SpaceClaim は次のビーム断面プロパティを計算して、ANSYS に転送します。
断面の面積:
中心点の X 座標:
中心点の Y 座標:
X 軸
を中心とした慣性モーメント:
Y軸を中心とした慣性モーメント:
慣性相乗モーメント:
曲げねじ
り係数、せん断中心、ねじり定数は、ゆがみ関数から計算されます。ゆがみ関数は、単純ねじりを求めるサンブナンの境界値問題の解です。
トレフツ定義を使用すると、せん断中心と曲げねじり係数は、単純に断面のプロパティとして計算されます。
せん断中心の X 座標:
せん断中心の Y 座標:
曲げねじり係数:
次を使用
Copyright © 2004-2017 ANSYS, Inc. All Rights Reserved. SpaceClaim is a registered trademark of ANSYS, Inc.